• Tel: 858.663.9055
  • SeparatorEmail: info@nsjbio.com
  • Tel: 858.663.9055
  • Email: info@nsjbio.com
Home >> Antibodies >> HDAC3 Antibody

HDAC3 Antibody (RQ5284)

  Catalog No Formulation Size Price (USD)  
Image RQ5284 0.5mg/ml if reconstituted with 0.2ml sterile DI water 100 ug 439
Bulk quote request
Western blot testing of human 1) HEK293, 2) K562, 3) A431 and 4) U-87 MG cell lysate with HDAC3 antibody. Predicted molecular weight ~49 kDa.
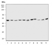
Western blot testing of 1) human 293T, 2) human HeLa, 3) human HepG2, 4) human MOLT4, 5) human MCF7, 6) human K562, 7) human Caco-2, 8) rat thymus, 9) rat C6, 10) mouse ANA-1 and 11) mouse NIH 3T3 cell lysate with HDAC3 antibody. Predicted molecular weight ~49 kDa.
Flow cytometry testing of human MCF7 cells with HDAC3 antibody at 1ug/million cells (blocked with goat sera); Red=cells alone, Green=isotype control, Blue= HDAC3 antibody.
Flow cytometry testing of mouse RAW264.7 cells with HDAC3 antibody at 1ug/million cells (blocked with goat sera); Red=cells alone, Green=isotype control, Blue= HDAC3 antibody.
Flow cytometry testing of rat RH35 cells with HDAC3 antibody at 1ug/million cells (blocked with goat sera); Red=cells alone, Green=isotype control, Blue= HDAC3 antibody.
Availability 1-3 business days
Species Reactivity Human, Mouse, Rat
Format Antigen affinity purified
Clonality Polyclonal (rabbit origin)
Isotype Rabbit IgG
Purity Affinity purified
Buffer Lyophilized from 1X PBS with 2% Trehalose
UniProt O15379
Applications Western Blot : 0.5-1ug/ml
Flow Cytometry : 1-3ug/million cells
Direct ELISA : 0.1-0.5ug/ml
Limitations This HDAC3 antibody is available for research use only.
Review this product on BioCompare and get a $20 Amazon gift card

Related Products

  • Applications : WB, IHC-P
    Reactivity : Human
    Recrabbitmono
  • Applications : ELISA, FACS, IF
    Reactivity : Human
    Microvalidated
  • Applications : WB
    Reactivity : Human, Mouse
    Rab Mono Image
  • Applications : ELISA, WB, FACS, IF
    Reactivity : Human
  • Applications : WB, IHC-P, IHC-F, ICC
    Reactivity : Human, Mouse, Rat
  • Applications : WB, IHC, ELISA
    Reactivity : Human
    Pred. Reactivity : Mouse, Rat
  • Applications : WB, ELISA (peptide)
    Reactivity : Human
    Pred. Reactivity : Cow, Dog, Mouse, Pig, Rat

Description

HDAC3 (HISTONE DEACETYLASE 3) is a member of the histone deacetylase/acuc/apha family of proteins that is an enzyme that in humans is encoded by the HDAC3 gene. The HDAC3 gene is mapped to 5q31.3. HDAC3 has histone deacetylase activity and represses transcription when tethered to a promoter. It may participate in the regulation of transcription through its binding with the zinc-finger transcription factor YY1. The protein can also down-regulate p53 function and thus modulate cell growth and apoptosis. And this gene is regarded as a potential tumor suppressor gene. HDAC3 has an open reading frame of 428 amino acids and shares 53% amino acid identity with HDAC1 and 52% with HDAC2. The catalytic domain of HDAC4 interacts with HDAC3 via the transcriptional corepressor NCOR2. All experimental conditions leading to the suppression of HDAC4 binding to NCOR2 and to HDAC3 resulted in loss of enzymatic activity associated with HDAC4. HDAC3 recruitment to the genome displays a circadian rhythm in mouse liver.

Application Notes

Optimal dilution of the HDAC3 antibody should be determined by the researcher.

Immunogen

Amino acids M1-I428 from the human protein were used as the immunogen for the HDAC3 antibody.

Storage

Store the HDAC3 antibody at -20oC.

Cross
Bulk Quote Request Form
Name*:
Organization*:
Email*:
Phone Number*:
Catalog No.*:
Comments and Specifics(amount, formulation, etc.)*:
Validation code: Captchapackage Image


Can't read the image? click here to refresh.
    *required field

Your bulk quote request has been submitted successfully!

Please contact us if you have any questions.